Meeting the Unique Health Needs of AANHPI Communities: The Case for Cultural Humility
By Indu Berman, MPH, MBA, Project Manager, Programs
As we observe Asian American, Native Hawaiian, and Pacific Islander (AANHPI) Heritage Month in May, we celebrate the rich tapestry of cultures, histories, and contributions these communities bring to the United States, and reflect on the importance of honoring their diverse health needs through cultural humility.
Cultural humility is a cornerstone of patient-centered care, requiring listening with empathy and tailoring care with the ability to remain open to another person’s identity. It recognizes that the patient is the expert on their own background and experiences. For many AANHPI patients, health is deeply personal and shaped by family, immigrant experiences, diverse beliefs, practices, values, and traditions.
Diverse Communities, Distinct Health Challenges
The Treasury Department’s Fact Sheet on AANHPIs highlights that the AANHPI population was nearly 21 million individuals in 2020, representing more than 6% of the U.S. population. Asians are the fastest-growing group among the U.S.’s largest racial/ethnic groups. While often grouped into a single racial category, AANHPI communities are from 50 countries and speak over 100 languages. When reviewing data for AANHPIs as a whole, they seem to be doing very well. However, AANHPI subgroups face unique health challenges that underscore the importance of disaggregated data in health care.
For example:
Diabetes
- According to the Centers for Medicare and Medicaid Services, among Asian Americans, the diagnosed diabetes rate is 9.2%; this varies significantly by subgroup—as high as 12.2% for Asian Indians and 10.4% for Filipinos, and as low as 5.6% for Chinese Americans.
- While diabetes rates for Native Hawaiian and Pacific Islander adults (15%) does not differ statistically from the rate for White adults (11%), the diabetes death rate for NHPIs is over two times as high as the rate for White adults (49.9 vs 21.3 per 100,000).
- AANHPIs have the highest hepatitis B-related mortality rate and incidence of tuberculosis (16.7 cases per 100,000 compared to 0.5 cases per 100,000 for non-Hispanic Whites, as of 2019).
- While cancer risk within AANHPIs is lower than that of Non-Hispanic Whites, AANHPIs have higher risk for some infection-related cancers including stomach, liver and nasopharynx.
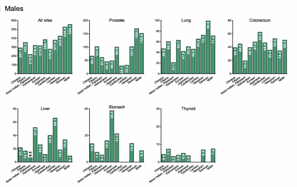
- Cancer incidence rates among AANHPI subgroups from 2006-2010 ranged from 216.8 for Asian Indians/Pakistanis to 526.5 for Samoans.
Cancer statistics for Asian Americans, Native Hawaiians, and Pacific Islanders, 2016: Converging incidence in males and females
These health disparities within the AANHPI community highlight the need for tailored approaches addressing the specific needs of each subgroup and each person’s unique circumstances. Cultural humility can help health care providers to more effectively build treatment plans that suit the individual needs of patients.
Moving Forward Together
One example of an organization engaged in this work is the AANHPI Resilience Project in Hawai’i, which aims to improve the cultural relevance, applicability, and efficacy of mental health services for AANHPIs through culturally aligned behavioral health screenings, training for healthcare professionals, and advocacy for equitable mental health care. Organizations such as the Asian Health Services in California, Raising Health in New York City, and the National Asian American Pacific Islander Mental Health Association (NAAPIMHA) exemplify approaches that prioritize cultural humility and community-driven care.
The 2025 theme for AANHPI Heritage Month, selected by the Federal Asian Pacific American Council, is A Legacy of Leadership & Resilience. In keeping with this theme, we celebrate the everyday leadership of patients, families, and caregivers — those who navigate complex systems with resilience, advocate for others, and help create space for more inclusive, responsive care.
As members of the National Health Council community, let’s reflect on how we can continue to center our service in compassion, inclusion, and cultural humility — ensuring every patient is seen, heard, and honored.


